Subscribe to Goldmind monthly to save 13%

Goldmind:Drive coming soon

All Goldmind orders SHIP FREE in the US.

Use coupon code WELCOME10 for 10% off your first order.

Cart 0

Congratulations! Your order qualifies for free shipping You are $0 away from free shipping.
Sorry, looks like we don't have enough of this product.

Pair with
Is this a gift?
Subtotal Free
Shipping, taxes, and discount codes are calculated at checkout

Soy-lechithin

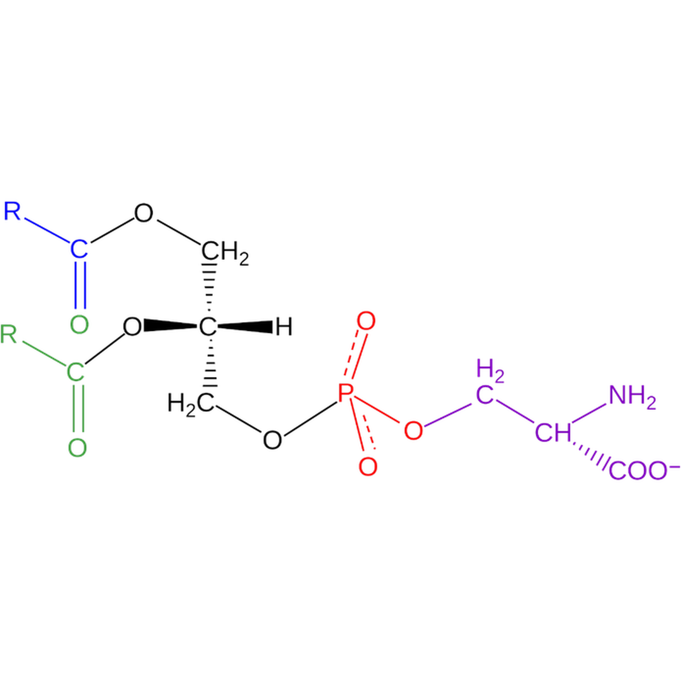
Chemical Structure

DHA+PS in the membrane

Phosphatidylserine

Overview

PS is a building block for a healthy brain. It's a phospholipid that is also a critical component of neuronal membranes (like DHA) and makes up 10-20% of the total phospholipids in brain tissue. Nutritionally, PS occurs in fish, organ meats, and some plant phospholipids (e.g., soy lecithin). It acts as a membrane “dock” to allow other enzymes (Akt/PKC) to bind and operate on the inner-leaflet cell surface. PS boosts membrane fluidity, upregulates acetylcholine synthesis, enhances dopamine release and reduces neuroinflammation. It synergizes beautifully with DHA. Structurally, PS has room to attach two fatty acid chains, and prefers using DHA (via PSS2) when it is available from diet or supplementation. PS+DHA together activate Akt and PKC more than either nutrient alone, promoting neurite outgrowth and synaptic plasticity. When the two components are consumed together, there is a 50% relative improvement in cognitive endpoints than with taking DHA or PS alone.

At 200-300mg/day, PS improves focus across wide-ranging age groups with minimal side effects–even in seniors. Mild GI distress, headache or insomnia occur in <5% of users. PS alone yields an effect size in attention and memory of ~0.2-0.4 and PS+DHA boosts that to ~0.3-0.6. It's a low risk (soy-based), moderate reward supplement. Take 200-300mg/day from a standardized, non-bovine source (e.g. non-GMO soy) plus a DHA supplement simultaneously for synergy.

More in-depth mechanisms of action: 
• Synaptic membrane dynamics: PS organizes membrane microdomains, modulates receptors/ion channels, and facilitates SNARE-dependent vesicle release --mechanisms that stabilize signal throughput under load. 
• Neurotransmission and HPA-axis tone: PS has been studied for stress-response modulation (e.g., blunting cortisol reactivity) and for improving cognitive performance under stress/exertion. 
• PS↔DHA synergy (endogenous integration): The PSS2 enzyme in brain shows high efficiency for synthesizing PS species containing DHA, favoring DHA-rich PS that supports synaptic function -- mechanistic rationale for pairing PS with omega-3 intake. 
• Structural maintenance in aging: Reviews describe PS (300–800 mg/day) as absorbed, brain-available, and supportive of neuronal membrane/myelin integrity through later life.

Clinical studies supporting use (focus-relevant)

[Effect-size note: Where trials don’t report full variance, effects are conservatively estimated from reported outcomes. Expect small-to-moderate effects (≈0.2–0.4) on attention/memory under stress or in older adults with memory complaints.]

A) Healthy adults (exercise/stress context)

Parker AG, et al. J Int Soc Sports Nutr. 2011;8:16.
• Population/design/duration: 18 resistance-trained college males; randomized, double-blind, placebo-controlled, cross-over; 14 days each condition.
• Ingredient/dose: Soy-derived PS 400 mg/day (IQPLUS Focus).
• Primary endpoints: Cognitive performance (Serial Subtraction Test) before/after acute resistance exercise; mood (POMS); endocrine markers.
• Results: Faster calculations (−20%), fewer errors (−39%) pre-exercise vs placebo; no mood/endocrine differences.
• Estimated effect size: g ≈ 0.25–0.40 on pre-exercise cognitive speed/accuracy. 

B) Older adults with memory complaints (non-demented)
Vakhapova V, et al. Dement Geriatr Cogn Disord. 2010;29(5):467–474.
• Population/design/duration: 157 non-demented older adults with memory complaints; randomized, double-blind, placebo-controlled; 15 weeks.
• Ingredient/dose: PS-DHA providing 300 mg PS/day (+79 mg DHA+EPA, 3:1 ratio).
• Primary endpoints: RAVLT, Rey Complex Figure, computerized battery; CGI-Change.
• Results: Improved verbal immediate recall vs placebo; post-hoc: greater benefits in higher-baseline performers.
• Estimated effect size: g ≈ 0.20–0.35 on immediate recall (exploratory). 

Vakhapova V, et al. Dement Geriatr Cogn Disord. 2014;38(1–2):39–45. (Open-label extension)
• Design/duration: Participants from the RCT continued 15 additional weeks open-label at 100 mg PS/day.
• Outcome: Suggests maintenance or further improvement of cognitive status in continuers; descriptive, no placebo control.

C) Systematic review/meta-analysis
4) Kang E-Y, et al. Korean J Food Sci Technol. 2022;54(1):52–58.
• Scope: 9 studies (n=961; 5 RCTs + 4 pre-post). Dose 100–300 mg/day; 6 weeks–6 months.
• Pooled finding: Positive effect on memory in older adults with cognitive decline; generally well tolerated. 


Dose-relationships:
• Goldmind:Focus -- PS 300 mg/day (with separate high-potency EPA/DHA softgel).
• Clinical comparators: Parker 2011 used 400 mg/day (young males, 14 days). Vakhapova 2010 used 300 mg PS/day (older adults, 15 weeks). Kang 2022 meta-analysis spans 100–300 mg/day for 6–24 weeks. 


Safety
• Tolerability: PS is generally well tolerated across studies; PS-DHA specifically was safe at 300 mg PS/day for 15 weeks and 100 mg PS/day for 30 weeks in older adults.
• Typical mild effects: GI discomfort, headache -- similar to placebo rates.
Standard disclaimer: Educational information only -- not medical advice. Consult your clinician if you have an illnesses, take medications, are pregnant, or nursing.


References
• Glade MJ, Smith K. Phosphatidylserine and the human brain. Nutrition. 2015;31(6):781–786. 
• Kimura AK, Kim HY. Phosphatidylserine synthase 2: high efficiency for synthesizing PS containing docosahexaenoic acid. J Lipid Res. 2013;54(1):214–222. 
• Vakhapova V, et al. Phosphatidylserine containing omega-3 fatty acids may improve memory abilities in non-demented elderly with memory complaints: a double-blind, placebo-controlled trial. Dement Geriatr Cogn Disord. 2010;29(5):467–474. 
• Vakhapova V, et al. Safety of PS containing omega-3 fatty acids in non-demented elderly: double-blind trial followed by open-label extension. BMC Neurol. 2011;11:79. 
• Vakhapova V, et al. Open-label extension study. Dement Geriatr Cogn Disord. 2014;38(1–2):39–45. 
• Kang E-Y, et al. Effect of PS on cognitive function in the elderly: systematic review and meta-analysis. Korean J Food Sci Technol. 2022;54(1):52–58. 
• Parker AG, et al. The effects of IQPLUS Focus on cognitive function, mood and endocrine response before and following acute exercise. J Int Soc Sports Nutr. 2011;8:16. 


Regulatory note: Research suggests PS supports cognitive domains such as memory and attentional performance; individual responses vary. Statements are not intended to diagnose, treat, cure, or prevent disease.